Skip to contents

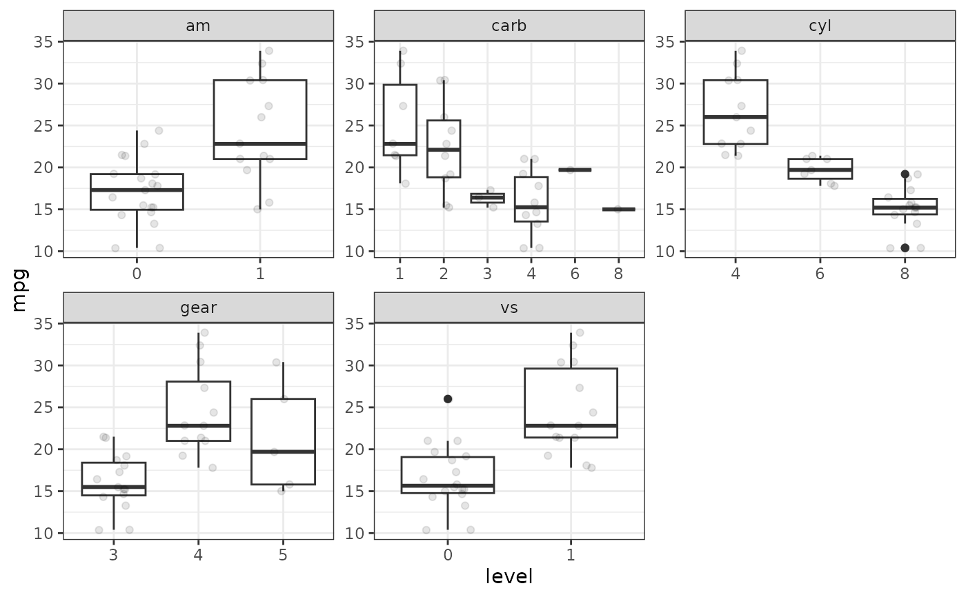
Create box plots for a chosen variable by all discrete covariates in a dataset. Numeric variables will be dropped, except the chosen variable to plot.

Usage

ggbox(d, var, cats, alpha = 0.1, show = TRUE, nsub = TRUE, ...)

Arguments

d

<dfr> A data frame.

var

<var> A variable to plot as unquoted name.

cats

<var> Optional. Categorical variables to plot as a vector of unquoted names.

alpha

<num> Alpha value for ggplot2::geom_jitter.

show

<lgl> TRUE to show data using ggplot2::geom_jitter.

nsub

<lgl> Show number of observations.

...

Additional arguments for ggplot2::geom_boxplot.

Value

A ggplot object.

Examples

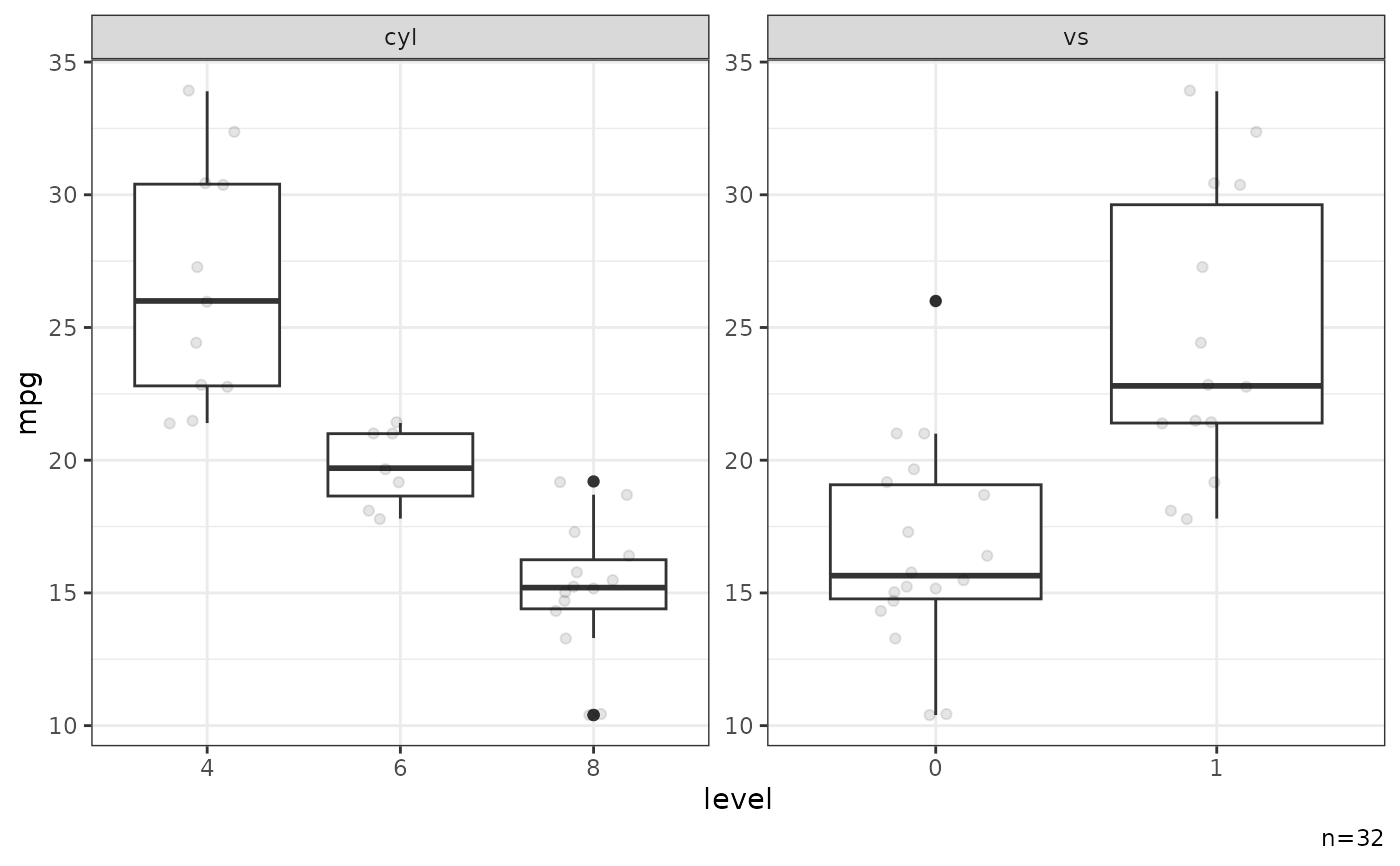
d = mtcars |> mutate(across(c(am,carb,cyl,gear,vs),factor))
d |> ggbox(mpg)
#> NB: Numeric variables are dropped.
#> Dropped: disp hp drat wt qsec

d |> ggbox(mpg,alpha=0.5)
#> NB: Numeric variables are dropped.
#> Dropped: disp hp drat wt qsec

d |> ggbox(mpg,show=FALSE)
#> NB: Numeric variables are dropped.
#> Dropped: disp hp drat wt qsec

d |> ggbox(mpg,nsub=FALSE)
#> NB: Numeric variables are dropped.
#> Dropped: disp hp drat wt qsec

d |> ggbox(mpg,c(cyl,vs))
#> NB: Numeric variables are dropped.
#> Dropped: